Exhibit 10(kk)

LOGO

 

Exhibit 10(kk)

TRANSITION AGREEMENT AND GENERAL RELEASE

This Transition Agreement and General Release (“Agreement”), effective as of the

Effective Date described in Section 11 below, is made and entered into by and between

Washington Real Estate Investment Trust (“WRIT”) and Sara L. Grootwassink (“Executive”).

WRIT and Executive will be referred to collectively as the “Parties.”

WHEREAS, Executive currently is employed by WRIT as Executive Vice President and Chief Financial Officer; and

WHEREAS, Executive has elected voluntarily to resign her position to relocate; and

WHEREAS, the Parties desire to transition Executive’s duties as smoothly as possible and to resolve all matters between them on a full and final basis;

NOW, THEREFORE, in consideration of the promises contained herein, and other good and valuable consideration, the receipt and adequacy of which are hereby acknowledged, the parties agree as follows:

1. Resignation: Executive hereby resigns her employment with WRIT effective as of the earlier of February 28, 2009 or the date that WRIT’s Fiscal Year 2008 audit is completed and its Form l0-K for such year is filed with the U. S. Securities and Exchange Commission (the “Resignation Date”). Thereafter, Executive will not perform any services for WRIT. Until the Resignation Date, WRIT may, upon prior written notice, terminate Executive’s employment with or without Cause, and Executive may resign with or without Good Reason. For the purposes of this Agreement, a termination for Cause shall have the same meaning as is set forth in Section 1C of the June 1, 2007 Change in Control Agreement between Executive and WRIT (the “CIC Agreement”), and a resignation with “Good Reason” shall mean Executive’s written resignation no less than 15 days after either Executive sends written notice to WRIT of WRIT’s material breach of this Agreement or Executive’s Duties (as hereinafter defined), position, compensation or benefits are diminished (and such breach or diminution is not cured within such 15-day period). It is understood and agreed that for the purposes of this Agreement, Executive’s Duties will not be considered to be diminished during the Transition Period due to the natural lessening of Executive’s Duties described in Section 2 below, both because she will be working remotely and because her replacement may be hired. Rather, for these purposes, a diminishment of Duties shall mean only either a change in Executive’s position title or the assignment of new duties to Executive that are inconsistent with her historical Duties and with the other terms of this Agreement. Promptly following the Resignation Date, or such earlier date as Executive’s employment may be otherwise terminated , Executive will return all property of WRIT and its parents, subsidiaries and affiliated entities (collectively “Affiliates”), and all copies, excerpts or summaries thereof, in her possession, custody or control.

2. Transition: Between the Effective Date and the date that Executive ceases to perform services for WRIT (the “Transition Period”), Executive will, to the extent requested by WRIT,

- 1 -


[ LOGO

 

continue to perform certain of her current duties (the “Duties”) in accordance with her Job Description, a copy of which is attached hereto and incorporated by reference herein as Appendix 1, in a professional, loyal and timely manner consistent with her historical levels of performance; provided, that because Executive has relocated to California, Executive shall perform most of her Duties remotely; and provided further that the Parties understand and agree that during the Transition Period, there will be a natural lessening of Executive’s Duties, both because she will be working remotely and because her replacement may be hired. During the Transition Period, WRIT will provide Executive with a WRIT-owned lap top computer, printer and BlackBerry, and will pay for her Internet service, to assist her in working remotely. During the Transition Period, Executive will be responsible for attending all industry and investor conferences she traditionally has attended (such as NAREIT) and road/investor shows/meetings consistent with her Duties, and she will be required to report to WRIT headquarters for important functions requiring her personal attendance, such as meetings of the Board of Trustees (the “Board”) and its committees, quarterly earnings conference calls, and otherwise as reasonably requested by WRIT’s President and Chief Executive Officer. All travel during the Transition Period will be in accordance with WRIT’s usual and customary travel practices applicable to WRIT’s senior executives, it being recognized that during the Transition Period, it is likely that Executive will have to engage in more business travel than she did previously. If a replacement for Executive is found during the Transition Period, Executive will be responsible during the Transition Period for training, supporting and effectively transitioning her Duties to such replacement.

3. Compensation and Benefits: During the Transition Period, WRIT will continue to (a) pay Executive her base salary at the rate in effect as of June 30, 2008, less customary withholdings (the “Salary Continuation”); and (b) provide Executive with the benefits in which she participated as of June 30, 2008, in accordance with and to the extent required by the applicable plans, programs and policies, as the same may be amended or terminated by WRIT in its discretion for all senior executives. Notwithstanding the foregoing, the Salary Continuation will be inclusive of all vacation, sick leave or other paid time off to which Executive may otherwise be entitled as of the Resignation Date, and Executive will not accrue after the Effective Date nor will she receive any separate payment for any accrued but unpaid vacation, sick leave, or other paid time off as of the Resignation Date; and Executive will not be entitled to earn any Short-Term Incentives (“STI”) or Long-Term Incentives (“LTI”) for the period after December 31, 2008. WRIT will pay Executive her 2008 STI in accordance with the terms of the applicable plan. Unless Executive is terminated by WRIT for Cause or Executive resigns without Good Reason prior to December 31, 2008, Executive will vest in the first tranche of performance share units (“PSUs”) on December 31, 2008 pursuant to the Tranche 1 Performance Share Unit Agreement for the three year performance period beginning January 1, 2006, and will also continue to vest in her restricted stock units (“RSUs”) and Restricted Stock Awards (“RSAs”) through the Resignation Date in accordance with the terms of the applicable plans. Unless Executive is terminated by WRIT for Cause or Executive resigns without Good Reason prior to the Resignation Date, and provided she signs the Second Release Agreement described in Section 4 below, she will also vest in an additional Four Thousand Five Hundred Sixty (4,560) RSUs and Seven Thousand Eight Hundred Twenty (7,820) RSAs on the Resignation Date (the

- 2 -


LOGO

 

“Transition Incentives”). Except as expressly provided otherwise in this Agreement, Executive’s entitlement to, participation in, and accrual of, all other salary or benefits from WRIT shall cease as of the Resignation Date, and all other unvested PSUs, RSUs and RSAs shall be forfeited, provided that Executive shall have such rights in such benefits as are required by law and applicable plan documents, including without limitation, distribution of Executive’s vested benefits in WRIT’s Supplemental Executive Retirement Plan and 401(k) plan in accordance with plan documents. Notwithstanding anything in the above to the contrary, no payment shall be made hereunder with respect to the RSUs prior to September 1, 2008. The amounts of the PSUs, RSUs and RSAs in which Executive is vested as of the Effective Date and the estimated additional amounts of PSUs, RSUs and RSAs which Executive may be eligible to earn and in which Executive may be eligible to become vested after the Effective Date are set forth in Appendix 2. It is understood and agreed that Appendix 2 contains good faith estimates and assumptions made by WRIT at the request of Executive, and that the actual amounts of PSUs, RSUs and RSAs, if earned by Executive, may vary.

4. Mutual Releases:

A. Executive’s Release: In consideration for the benefits described herein, and for other good and valuable consideration, which are of greater value than Executive would normally be entitled upon termination, Executive, on behalf of herself, her heirs, executors, administrators, agents, representatives and assigns, hereby forever releases WRIT and its Affiliates, and its and their officers, trustees, owners, shareholders, insurers, plan administrators, employees, agents, attorneys and representatives, and each of their predecessors, successors and assigns, from any and all claims, demands, suits, actions, damages, losses, expenses, charges or causes of action of any nature whatsoever, whether known or unknown, relating in any way to her employment with WRIT and the termination thereof, arising at any time up to and including the Effective Date (collectively “Claims”). This release includes without limitation Claims for discrimination, harassment or retaliation under the Age Discrimination in Employment Act, as amended (the ADEA), Title VII of the Civil Rights Act of 1964, the Americans with Disabilities Act, the Maryland Human Rights Act, the Montgomery County Human Rights Act, and any other Claims under all other federal, state or local laws; Claims for breach of any contract; Claims for wrongful discharge; Claims for emotional distress, defamation, fraud, misrepresentation or any other personal injury; Claims for unpaid compensation; Claims for or relating to benefits under any benefit plans, programs or policies; Claims for attorneys’ fees and costs, Claims for reinstatement or employment; and all other Claims under any federal, state or local law or cause of action. Executive represents that she has not filed any such Claims, and she further agrees not to assert or file any such Claims or to accept any monetary relief for any Claims asserted on her behalf by any third party in the future to the fullest extent permitted by law. Notwithstanding the foregoing, it is understood and agreed that this Release does not apply to claims for breach of this Agreement or claims for any rights to indemnification Executive may have in connection with her employment with WRIT, nor does is apply to any claims for properly reimbursable travel or other business expenses or to any claims for vested benefits (but not for breach of fiduciary duty) arising under the terms of any applicable employee benefit plan. In exchange for the Transition Incentives, Executive agrees to execute another release in

- 3 -


LOGO

 

substantially the same form as is attached hereto as Appendix 3 effective as of the Resignation Date (the “Second Grootwassink Release Agreement”).

B. WRIT’s Release: In consideration for the benefits described herein, and for other good and valuable consideration, WRIT and its Affiliates, on behalf of its and their officers, trustees, owners, shareholders, insurers, plan administrators, employees, agents, attorneys and representatives, and each of their predecessors, successors and assigns, hereby forever releases Executive, her heirs, executors, administrators, agents, representatives and assigns, from any and all claims, demands, suits, actions, damages, losses, expenses, charges or causes of action of any nature whatsoever, whether known or unknown, relating in any way to her employment with WRIT and the termination thereof arising at any time up to and including the Effective Date (collectively “Claims”). This release includes without limitation Claims under all federal, state or local laws; Claims for breach of any contract; Claims for breach of any duty; Claims for emotional distress, defamation, fraud, misrepresentation or any other personal injury; Claims for overpaid compensation; Claims for or relating to benefits under any benefit plans, programs or policies; Claims for attorneys’ fees and costs; and all other Claims under any federal, state or local law or cause of action. WRIT represents that it has not filed any such Claims, and it further agrees not to assert or file any such Claims or to accept any monetary relief for any Claims asserted on her behalf by any third party in the future to the fullest extent permitted by law. It is understood and agreed that this Release does not apply to Claims for breach of this Agreement or Claims for fraud, embezzlement or other intentional malfeasance. WRIT agrees to execute another release in substantially the same form as is attached hereto as Appendix 4 effective as of the Resignation Date (the “Second WRIT Release Agreement”).

5. Confidentiality: Except to enforce this Agreement or as required by law or otherwise to satisfy SEC filing requirements, or to the extent each party in good faith deems necessary in communications with analysts and institutional investors of REITs, the Parties agree to keep this Agreement, and the terms of this Agreement strictly confidential. Subject to the foregoing, Executive shall not disclose the same to any third party except her heirs, attorneys, accountants and immediate family members, Likewise subject to the foregoing, WRIT shall not disclose the same to any third party except its trustees, officers, attorneys, accountants and employees responsible for effectuating the Agreement. Notwithstanding the foregoing, WRIT also may disclose various terms of this Agreement in various public releases issued in the normal course of its business. Likewise, if either party is asked about the status of the Parties’ relationship or the terms of the Agreement, they may to the extent they deem appropriate disclose relevant terms of the Agreement in response to the inquiry.

6. Nondisparagement and Nonassistance: Executive agrees not to provide any disparaging information relating to WRIT or its Affiliates or its or their management employees, officers or trustees to any person or entity who is not a party to this Agreement, and she agrees not to provide any form of assistance to, or to cooperate with, any person or entity asserting or intending to assert any claim or investigation against WRIT or its Affiliates except as may be required by law or legal process. WRIT shall instruct its Board, its senior management and its

- 4 -


LOGO

 

human resources department not to provide any disparaging information relating to Executive to any person or entity who is not a party to this Agreement, and it agrees not to provide any form of assistance to, or to cooperate with, any person or entity asserting or intending to assert any claim or investigation against Executive, except as may be required by law or legal process.

7. Cooperation: Executive agrees to reasonably cooperate with WRIT upon request by answering questions and providing information about matters of which she has personal knowledge. In the event that WRIT becomes involved in any civil or criminal litigation, administrative proceeding or governmental investigation, Executive shall, upon request, provide reasonable cooperation and assistance to WRIT, including without limitation, furnishing relevant information, attending meetings and providing statements and testimony. WRIT shall reimburse Executive for all reasonable expenses she incurs in complying with this Section 7. Any such expense shall be reimbursed by WRIT no later than 15 days after Executive submits reasonably detailed information to WRIT as to the amount and character of such expense.

8. Non-Competition: During the Transition Period, Executive agrees not to directly or indirectly, whether as an employee, officer, director, consultant, contractor, owner, shareholder, or in any other capacity, provide any paid or unpaid service to any entity. Notwithstanding the foregoing, Executive may continue to sit on the Board of CapitalSource and may request to become a member of other Boards of Directors or Boards of Trustees in accordance with WRIT policy generally applicable to Board memberships by other senior executives of WRIT.

9. Miscellaneous: This Agreement represents the entire agreement of the parties, and supersedes all other agreements, discussions and understandings of the parties, concerning the subject matter hereof. All other express or implied agreements of the parties not expressly contained or incorporated by reference herein are terminated and of no further force or effect. This Agreement may not be modified in any manner except in a written document signed by both parties. Should any provision of this Agreement be held to be invalid or unenforceable by a court of competent jurisdiction, it shall be deemed severed from the Agreement, and the remaining provisions of the Agreement shall continue in full force and effect, and the court shall modify such provision to make it valid to the maximum extent permitted by law. In the event of any litigation to enforce this Agreement, the prevailing party shall be awarded his or its reasonable attorneys’ fees and costs.

10. Change in Control: Notwithstanding Section 9, the CIC Agreement shall remain in full force and effect through the Resignation Date. Moreover, Executive’s rights under the CIC Agreement shall vest if prior to March 1, 2009, either WRIT publicly announces that it has entered into a merger, acquisition or similar agreement, the consummation of which would result in the occurrence of a Change in Control of WRIT, or a third party publicly announces an intention to take actions which if consummated would constitute a Change in Control of WRIT, without regard to whether the Change in Control actually occurs prior to March 1, 2009; provided, further, that Executive’s entitlement to the payments and benefits provided for under the CIC Agreement shall occur upon the Change in Control, and shall not be conditional upon her being involuntarily terminated without Cause or resigning pursuant to the standards set forth

- 5 -


LOGO

 

in Section lB of the CIC Agreement. For the purposes of this Agreement, the term “Change in Control” shall have the same definition as it has in the CIC Agreement.

11. Consultation and Consideration: Executive is advised to consult with an attorney at her own expense prior to executing this Agreement. She may have a period of up to 21 days from the date she receives this Agreement to consider this Agreement, but she may knowingly and voluntarily take less time to consider it. If Executive signs this Agreement, she will have seven (7) days to revoke it (the “Revocation Period”). Any notice of revocation must be in writing and received by Laura Franklin of WRIT prior to the expiration of the Revocation Period. Thus, this Agreement will not become effective or enforceable until such date that both parties sign it and the Revocation Period expires without Executive exercising her right of revocation (the “Effective Date”). If Executive signs this Agreement, she represents that she enters into it knowingly and voluntarily with full understanding of its meaning and effect.

12. Governing Law: This Agreement shall be construed exclusively in accordance with the laws of the State of Maryland, without regard to the principles of conflicts of laws therein.

13. Assignment: This Agreement shall be binding upon and shall inure to the benefit of the parties and their respective successors and assigns. Executive may not assign any right or obligation hereunder without WRIT’s prior written consent. WRIT may assign its rights and obligations here under to any successor in interest.

14. Notices. All notices, requests, demands, and other communications provided for by this Agreement shall be in writing and shall be sent by certified mail, return receipt requested, postage prepaid or sent by nationally recognized overnight delivery service. Except as otherwise provided hereunder, a notice shall be deemed to be given in each case on the business day following the date of its mailing. All notices shall be addressed and mailed or delivered to the following addresses:

If to WRIT: Washington Real Estate Investment Trust

6110 Executive Boulevard

Suite 800

Rockville, MD 20852

Attn: Laura Franklin

If to Executive: Sara L. Grootwassink

2952 Sunset Hills

Escondido, CA 92025

Each party may change its/his address for notices by giving notice in accordance herewith.

- 6 -


LOGO

 

15. Counterparts: This Agreement may be executed in one or more counterparts, by facsimile, PDF or otherwise, each of which shall be deemed an original and together which shall constitute one and the same instrument.

Executive has had an opportunity to carefully review and consider this Agreement with an attorney, and she has had sufficient time to consider it. After such careful consideration, she knowingly and voluntarily enters into this Agreement with full understanding of its meaning and effect.

IN WITNESS WHEREOF, the parties hereto have duly executed this Agreement.

SARA L. GROOTWASSINK

WASHINGTON REAL ESTATE INVESTMENT TRUST

SARA L. GROOTWASSINK

Signature

By:

George Mc Kenzie

Title :

PRESIDENT, CEO

Date:7/29/08

Date:8/5/08

- 7 -


LOGO

 

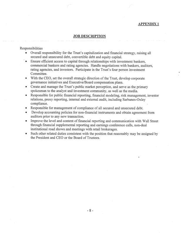
APPENDIX 1

JOB DESCRIPTION

Responsibilities

• Overall responsibility for the Trust’s capitalization and financial strategy, raising all secured and unsecured debt, convertible debt and equity capital.

• Ensure efficient access to capital through relationships with investment bankers, commercial bankers and rating agencies. Handle negotiations with bankers, auditors, rating agencies, and investors. Participate in the Trust’s four person investment Committee.

• With the CEO, set the overall strategic direction of the Trust, develop corporate governance initiatives and Executive/Board compensation plans.

• Create and manage the Trust’s public market perception, and serve as the primary spokesman to the analyst and investment community, as well as the media.

• Responsible for public financial reporting, financial modeling, risk management, investor relations, proxy reporting, internal and external audit, including Sarbanes-Oxley compliance.

• Responsible for management of compliance of all secured and unsecured debt.

• Develop accounting policies for non-financial instruments and obtain agreement from auditors prior to any new transaction.

• Improve the level and content of financial reporting and communication with Wall Street through financial supplemental reporting and earnings conference calls, non-deal institutional road shows and meetings with retail brokerages.

• Such other related duties consistent with the position that reasonably may be assigned by the President and CEO or the Board of Trustees.

- 8 -


LOGO

 

Washington Real Estate Investment Trust

Appendix 2 to Transition Agreement and General Release

Estimated Expense to WRIT on acceleration/(reversal)

Total Shares Vested 31-May-08 Unvested 31-May-08 Vested 31-Dec-08 Unvested 31-Dec-08

RSA 29,945 20,336 9,609 22,125 7,820 $ 276,010

RSU 6,300 480 5,820 1,740 4,560 $ 151,817

36,245 20,816 15,429 23,865 12,380 $427,827

Value of Unvested shares estimated at $32/share $ 396,160

PSU Tranche 1: Estimate assumes year 3 at target $ 298,000

Salary June-December: Annual base salary of $ 330,000. $ 192,500

STI at Target Estimate at target: 75% of base $ 247,500

Estimated Compensation per agreement: $ 1,134,160

Less:

Reversal of Tranche 2 and 3 PSU’s:

Tranche 2: Estimate $ (244,200)

Tranche 3 Estimate $ (121,000)

Subtotal PSU reversal: $ (365,200)

Estimated reduction in Net Income: $ 62,627


LOGO

 

APPENDIX 3

SECOND GROOTWASSINK RELEASE AGREEMENT

In consideration for Transition Incentives described in the attached Transition Agreement, and for other good and valuable consideration, which are of greater value than Executive would normally be entitled upon termination, Executive, on behalf of herself, her heirs, executors, administrators, agents, representatives and assigns, hereby forever releases WRIT and its Affiliates, and its and their officers, trustees, owners, shareholders, insurers, plan administrators, employees, agents, attorneys and representatives, and each of their predecessors, successors and assigns, from any and all claims, demands, suits, actions, damages, losses, expenses, charges or causes of action of any nature whatsoever, whether known or unknown, relating in any way to her employment with WRIT and the termination thereof, arising at any time up to and including the Effective Date (collectively “Claims”). This release includes without limitation Claims for discrimination, harassment or retaliation under the Age Discrimination in Employment Act, as amended (the ADEA), Title VII of the Civil Rights Act of 1964, the Americans with Disabilities Act, the Maryland Human Rights Act, the Montgomery County Human Rights Act, and any other Claims under all other federal, state or local laws; Claims for breach of any contract; Claims for wrongful discharge; Claims for emotional distress, defamation, fraud, misrepresentation or any other personal injury; Claims for unpaid compensation; Claims for or relating to benefits under any benefit plans, programs or policies; Claims for attorneys’ fees and costs, Claims for reinstatement or employment; and all other Claims under any federal, state or local law or cause of action. Executive represents that she has not filed any such Claims, and she further agrees not to assert or file any such Claims or to accept any monetary relief for any Claims asserted on her behalf by any third party in the future to the fullest extent permitted by law. It is understood and agreed that this Release does not apply to claims for breach of this Agreement or claims for any rights to indemnification Executive may have in connection with her employment with WRIT, nor does is apply to any claims for properly reimbursable travel or other business expenses or to any claims for vested benefits (but not for breach of fiduciary duty) arising under the terms of any applicable employee benefit plan.

Executive is advised to consult with an attorney at her own expense prior to executing this Agreement. She may have a period of up to 21 days from the date she receives this Agreement to consider this Agreement, but she may knowingly and voluntarily take less time to consider it. If Executive signs this Agreement, she will have seven (7) days to revoke it (the “Revocation Period”). Any notice of revocation must be in writing and received by Laura Franklin of WRIT prior to the expiration of the Revocation Period. Thus, this Agreement will not become effective or enforceable until such date that both parties sign it and the Revocation

- 10 -


LOGO

 

Period expires without Executive exercising her right of revocation (the “Effective Date”). If Executive signs this Agreement, she represents that she enters into it knowingly and voluntarily with full understanding of its meaning and effect.

SARA L. GROOTWASSINK WASHINGTON REAL ESTATE INVESTMENT TRUST

By:

Signature

Title:

Date: Date:

- 11 -


LOGO

 

APPENDIX 4

SECOND WRIT RELEASE AGREEMENT

In consideration for Executive’s promises in the attached Transition Agreement, and for other good and valuable consideration, WRIT and its Affiliates, on behalf of its and their officers, trustees, owners, shareholders, insurers, plan administrators, employees, agents, attorneys and representatives, and each of their predecessors, successors and assigns, hereby forever releases Executive, her heirs, executors, administrators, agents, representatives and assigns, from any and all claims, demands, suits, actions, damages, losses, expenses, charges or causes of action of any nature whatsoever, whether known or unknown, relating in any way to her employment with WRIT and the termination thereof, arising at any time up to and including the Effective Date (collectively “Claims”). This release includes without limitation Claims under all federal, state or local laws; Claims for breach of any contract; Claims for breach of any duty; Claims for emotional distress, defamation, fraud, misrepresentation or any other personal injury; Claims for overpaid compensation; Claims for or relating to benefits under any benefit plans, programs or policies; Claims for attorneys’ fees and costs; and all other Claims under any federal, state or local law or cause of action. WRIT represents that it has not filed any such Claims, and it further agrees not to assert or file any such Claims or to accept any monetary relief for any Claims asserted on her behalf by any third party in the future to the fullest extent permitted by law. It is understood and agreed that this Release does not apply to Claims for breach of this Agreement or Claims for fraud, embezzlement or other intentional malfeasance.

This Agreement will become effective as of the date is signed by both Parties.

SARA L. GROOTWASSINK WASHINGTON REAL ESTATE INVESTMENT TRUST

By:

Signature

Title:

Date:

Date:

- 12 -